Gli errori della giustizia ci costano 42 milioni di euro. Ma per Davigo i magistrati sbagliano poco (per fortuna)

Categoria: Giustizia

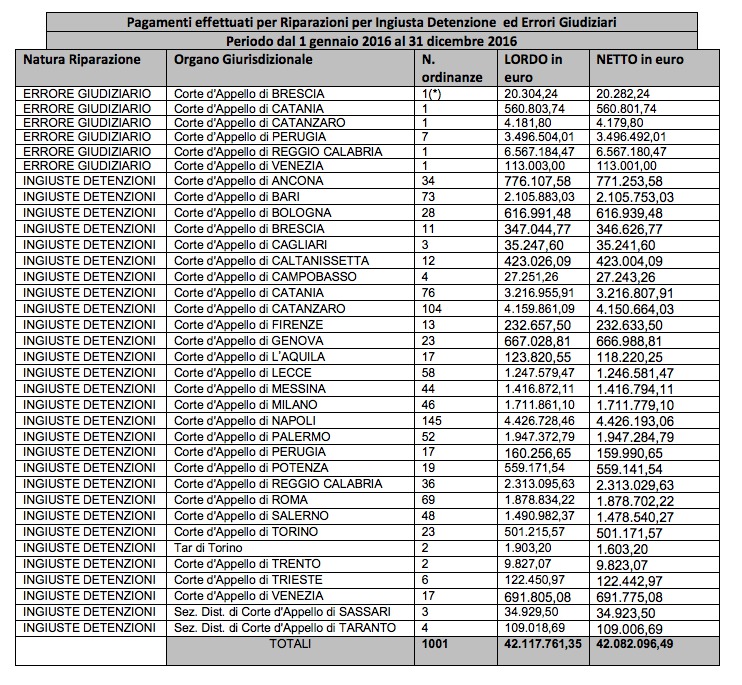
Nel 2016 lo Stato ha dovuto sborsare oltre 40 milioni di euro. La maggior parte a causa di "ingiuste detenzioni" (vedi tabelle)

di Redazione foglio 2 Febbraio 2017

Commenti 3

Dice Piercamillo Davigo, presidente della Anm e nuovo eroe della resistenza dei magistrati dagli attacchi della politica: "Il problema della responsabilità civile non esiste, ciò che dà fastidio è la mancanza di un filtro, per cui ciascuno può essere chiamato in giudizio dal suo imputato e se interviene per difendersi non può più fare il processo. Per fortuna i magistrati sbagliano relativamente poco".

La frase è solo uno dei passaggi del forum con Davigo organizzato dall'Agi. Meriterebbe una citazione anche il passaggio in cui il magistrato spiega che chi, come lui, indossa la toga, "non dovrebbe mai fare politica. Si getta un'ombra su ciò che si è fatto prima. Di solito i magistrati sono cattivi politici di media non lo sanno fare". Suggerimento sacrosanto che il presidente dell'Anm, di certo, avrà dato anche a Antonio Di Pietro, Gerardo D'Ambrosio e Tiziana Parenti, passati dall'aula del tribunale a quella del parlamento. Ma questa è un'altra storia.

Quello che vale la pena analizzare è quel "i magistrati relativamente poco". Che andrebbe accompagnato con un bel "per fortuna". Perché basta guardare i dati dei pagamenti effettuati dallo Stato per "riparazioni per ingiusta detenzione ed errori giudiziari" nel 2016, per capire quanto ci costano quei pochi (?) errori.

Nel 2016 i casi sono stati 1001 e per la maggior parte, ovviamente, si tratta di ingiuste detenzioni. Il conto totale è stato di 42.082.096,49 euro. La Corte d'Appello che ha fatto registrate il maggior numero di errori è stata quella di Napoli (145), seguita da Catanzaro (104) e Catania (76). La cifra più alta sborsata riguarda errore giudiziario a Reggio Calabria: 6.567.180,47.

Peggio era andata nel 2015 quando gli errori e le ingiuste detenzioni erano stati 1.188. Il conto, però, era stato meno salato: "solo" 36.987.834 euro. Anche la classifica era stata diversa con Napoli sempre in testa (144) seguita da Roma (106) e Bari (105). La più costosa? La Corte d'Appello di Catanzaro con pagamenti per 5.514.849 euro. Ora prova a immaginare cosa succederebbe se i magistrati sbagliassero "relativamente tanto".

Categoria Giustizia

Commenti

schiepp

02 Febbraio 2017 - 12:12

Sì ma gli importi dovrebbero essere aumentati almeno per un terzo. Infatti molti "detenuti ingiustamente" rinunciano a chiedere il rimborso, sia per la complessità delle pratiche da istruire sia perchè, una volta usciti dall'incubo, non ne voglio più sapere di avere a che fare con quel mondo. Inoltre non tutti possono chiedere il rimborso: per esempio chi si è avvalso della facoltà di non rispondere (esercitando un suo diritto) non può poi chiedere il rimborso.

Report

RispondiGiovanni

02 Febbraio 2017 - 10:10

E occorre aggiungere che i risarcimenti per ingiusta detenzione sono alquanto bassi. Per fortuna qualcosa a livello di Unione Europea si sta muovendo. A Bruxelles ci si è infine accorti che la giustizia italiana usa metodi e provvedimenti sopratutto in fase istruttoria assai poco garantisti e spesso poco professionali. Sopratutto la carcerazione preventiva (che spesso dura anni prima che si arrivi al processo) utilizzata per ottenere confessioni o delazioni. Senza contare il collegamento perverso con la stampa e l'inopportuna pubblicazione di verbali e notizie che dovrebbero restare riservati. L'ideale sarebbe che l'UE uniformasse le principali norme riguardanti appunto: carcerazione preventiva e sua durata massima, riservatezza degli atti riguardante le indagini, e una quota adeguata per il calcolo dei risarcimenti basata sull'indice del costo della vita per ogni singolo membro dell'Unione. Sembra che pian piano quest'idea si stia facendo strada.

Report

Rispondigiantrombetta

02 Febbraio 2017 - 08:08

Sia reso merito al Foglio che spesso dedica un titolo agli "errori." dei magistrati. Non c'è telegiornale o giornale che ogni giorno non dedichi un titolo di apertura per informarci sugli "errori" di altri professionisti. Agli "errori" dei magistrati mai. Non fanno notizia,evidentemente. Forse sarebbe tempo che qualcuno ce ne spiegasse le ragioni.